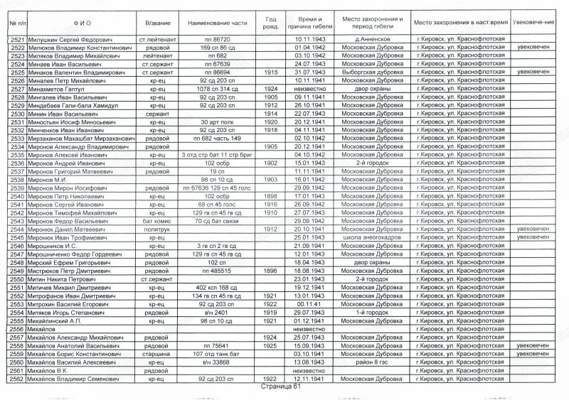
Михайлов Борис Константинович
Михайлов
Борис
Константинович
Старшина / Механик-водитель
1910 - 3.10.1941

История солдата

107 отдельный танковый батальон

Погиб у деревни Московская Дубровка Ленинградской области.

Захоронен в братской могиле на улице Краснофлотской в г. Кировске Ленинградской области.

Из рассказа Михайлова Германа Борисовича, сына Бориса Константиновича:

«Михайлов Борис Константинович, старшина. Родился в Ленинграде в 1909 году, убит был 3 октября 1941 года в боях за оборону Ленинграда на "Невском пятачке" - плацдарме на левом (восточном) берегу Невы напротив Невской Дубровки, захваченного и удерживаемого советскими войсками Ленинградского фронта. Как указано в извещении, похоронен в Московской Дубровке, Ленинградской области, в дальнейшем перезахоронен в г. Кировске, Ленинградской области, по ул. Краснофлотская, где установлена мемориальная плита герою. До войны работал наладчиком швейных машин на фабрике "Комсомолка" в Ленинграде. На фронте был механиком-водителем танка КВ. Участник Финской войны.
Семья Бориса Константиновича: жена (пережила блокаду, умерла в 2002 году), дочь Ирина (рождена в 1941 году, умерла в блокаду в 1942 году в возрасте года), сын Герман Борисович Михайлов, 1939 года рождения».

Регион Санкт-Петербург
Воинское звание Старшина
Населенный пункт: Санкт-Петербург
Воинская специальность Механик-водитель
Место рождения Санкт-Петербург
Дата рождения 1910
Дата смерти 3.10.1941

Боевой путь

Место призыва Володарский (?) (ныне -Невский) район Ленинграда
Боевое подразделение 11 осбр, 107 отдельный танковый батальон
Завершение боевого пути Московская Дубровка Ленинградской области
Принимал участие Невский пятачок, Московская Дубровка

Документы

Страница из донесения о безвозвратных потерях.

Страница из донесения о безвозвратных потерях.

Страница из "Книги памяти"

Страница из "Книги памяти"

Фотографии

Братская могила в г. Кировске Ленинградской области

Братская могила в г. Кировске Ленинградской области

Братская могила в г. Кировске Ленинградской области

Братская могила в г. Кировске Ленинградской области

Братская могила в г. Кировске Ленинградской области

Братская могила в г. Кировске Ленинградской области

Михайлов Борис Константинович

Михайлов Борис Константинович

Семья солдата

Герман
Михайлов Герман Борисович

Михайлов Герман Борисович - сын Михайлова Бориса Константиновича. Герман Борисович - автор рассказа о своём отце на сайте Первого канала: https://veterani.1tv.ru/id=2423902

Автор страницы солдата

Страницу солдата ведёт:
Воронков Андрей Юрьевич - Внучатый племянник по линии матери отца
История солдата внесена в регионы: